Sebelum lebih jauh membahas tentang heat equation, bagi pembaca yang kurang familiar dengan
diskritisasi maupun teknik iterasi, kami sarankan untuk baca terlebih dahulu
tentang
http://fisikaveritas.blogspot.com: Diizinkan
menyalin artikel ini jika mencantumkan FISIKAVERITAS sebagai sumbernya
Heat equation atau persamaan difusi
adalah persamaan yang menggambarkan atau mengatur peristiwa difusi suatu
kuantitas fisis (u); kuantitas fisis
(u) ini bisa berupa temperatur,
tekanan, dan lain sebagainya. Heat
equation, tidak seperti persamaan Laplace, ia menggambarkan perubahan suatu
kuantitas fisis terhadap waktu. Heat
equation juga menggambarkan difusi/penyebaran suatu kuantitas fisis.
Gambar berikut dapat membantu memahami perbedaan
persamaan Laplace dengan heat equation.
![]() |
| Gambar 1. Perbandingan Persamaan Laplace dengan Heat Equation |
Untuk menghitung solusi heat equation, perlu diketahui syarat
batas (nilai di batas-batas atau ujung-ujung sistem) dan juga syarat awal (nilai awal di seluruh
sistem).
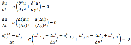
Heat equation secara matematis ditulis
seperti berikut (lihat penurunan rumusnya di sini)
Dalam koordinat kartesian 2-Dimensi ditulis
Pada heat equation
di atas, α adalah konstanta
difusivitas termal bahan (satuannya m2/s).
Besaran fisis u
berubah terhadap waktu (t) dan
berubah terhadap ruang (x, y). Jadi, u adalah fungsi dari x, y,
dan t. Ditulis secara matematis
Untuk mendiskritisasi heat equation 2-D di atas, kita gunakan metode yang sama seperti
metode yang digunakan pada diskritisasi persamaan Laplace, artikel
Fisika Veritas sebelumnya.
Untuk memudahkan penulisan notasi, kita
gunakan notasi berikut ini
Dengan subskrip i dan j berturut-turut
menyatakan fungsi terhadap x dan y, sedangkan k adalah time step yang
menyatakan fungsi terhadap t;
semuanya secara diskrit.
Untuk mendiskritisasi persamaan diferensial di atas,
perlu diambil bentuk infinitesimal dx,
dy, dt berturut-turut sebagai bentuk finitesimal Δx, Δy, dan Δt yang kecil. (Sebenarnya menggunakan
deret Taylor)
Kita tulis ulang heat
equation dalam bentuk diskrit
Untuk memudahkan, kita ambil Δx = Δy,
diperoleh
bentuk diskrit yang siap digunakan pada kode komputer atau listing program
untuk melakukan simulasi suatu perambatan panas atau lainnya seperti berikut
ini
Dengan
Untuk ‘mengingat’ persamaan diskrit di atas, dapat
digunakan stencil berikut ini
![]() |
| Gambar 2. Stencil pada Heat Equation Diskrit |
Tidak seperti diskritisasi persamaan Laplace di artikel
sebelumnya, diskritisasi heat equation
di atas berskema eksplisit, maksudnya, nilai uk+1i,j pada persamaan
di atas dapat langsung dihitung karena nilai-nilai pada ruas sebelah kanan
sudah diketahui dari syarat awal (untuk k
= 0). Karena kita memakai skema eksplisit untuk menghitung solusi heat equation, perlu dipatuhi syarat
stabilitas berikut ini (tidak perlu kita buktikan di sini)
Karena Δx
= Δy, syarat kestabilannya menjadi
Syarat
stabilitas di sini maksudnya, jika kita pilih
Δt yang tidak memenuhi
kriteria stabilitas di atas, maka perhitungan nilai u pada setiap kenaikan time
step k akan memperbesar error hitung dan hasil hitung yang
didapatkan menjadi tidak benar atau tidak stabil.
http://fisikaveritas.blogspot.com: Diizinkan
menyalin artikel ini jika mencantumkan FISIKAVERITAS sebagai sumbernya
Kita masuk ke contoh kasus untuk mengaplikasikan
persamaan diskrit dari heat equation
yang telah kita dapatkan sebelumnya.
Sebuah pelat aluminium (α = 0,00008418 m2/s) berbentuk persegi (2-D) dengan
panjang sisi-sisinya adalah 5 meter. Pada awalnya pelat bertemperatur 00C
di setiap titik pada pelat tersebut. Kemudian secara tiba-tiba salah satu sisi
pelat tersebut diberi temperatur tetap 1000C, sedangkan sisi-sisi
lainnya dijaga tetap bertemperatur 00C. Bagaimanakah kontur
temperatur di dalam pelat tersebut seiring waktu? Buat grid pada pelat tersebut
dengan Δx = Δy
= 1 meter.
| Gambar 3. Syarat Batas dan Awal serta Grid Pelat |
Temperatur pada pelat itu pada mulanya 00C
pada semua titik di pelat, karena salah satu sisi diberi temperatur tetap
sebesar 1000C,
maka temperatur pada pelat akan berubah seiring waktu. Kita akan mencoba
menghitung perubahan atau perambatan temperatur di pelat tersebut seiring
waktu.
Kita gunakan persamaan berikut ini untuk menghitung
temperatur (u)
Konstanta difusivitas (α ) aluminium adalah sebesar 0,00008418
m2/s.
Syarat Batas (Boundary Conditions):
Syarat Awal (Initial Conditions):
Syarat stabilitas
Untuk kasus kita, syarat stabilitasnya adalah
Kita ambil syarat stabilitas Δt = 2969.8
detik
Berarti untuk setiap kenaikan k, maka kondisi pelat yang akan kita
amati temperaturnya adalah kelipatan 2969,8 detik setelah salah satu sisi pelat
diberi temperatur konstan sebesar 1000C. Jadi pada time step k = 1, t = 2969.8 detik; pada time step k = 2, t = 5939.6 detik; dst.
Kita coba sedikit melakukan perhitungannya
secara manual seperti berikut ini
Pada k = 1, atau t =2969.8 detik
Untuk i = 1 dan j = 4
Untuk i = 2 dan j = 4
Dan seterusnya, lakukan perhitungan sampai k yang diinginkan untuk semua i dan
j pada pelat.
Adapun melakukan perhitungan di atas secara manual
(dengan tangan) sangatlah melelahkan dan tidak efisien, program komputer dapat
melakukan perhitungan di atas dengan cepat, tepat, dan mudah. Listing program C
untuk menghitung perambatan temperatur pada pelat persegi (2-D) telah kami sajikan di bawah ini dan dapat dimodifikasi
sesuai dengan kasus yang bersangkutan.
http://fisikaveritas.blogspot.com: Diizinkan
menyalin artikel ini jika mencantumkan FISIKAVERITAS sebagai sumbernya
Jika Kamu tidak tahu cara meng-compile listing
program C di atas, kamu dapat langsung download
programnya di sini.
Contoh tampilan programnya adalah seperti berikut untuk
contoh kasus pelat persegi kita di atas
Hasil yang didapatkan dengan program di atas adalah matriks yang berisi data temperatur (dalam derajat Celsius) pada grid pelat di setiap time step. Kita susun seperti berikut
![]() |
| Gambar 5. Matriks Temperatur pada Pelat |
Karena tampilan angka mungkin kurang menarik, kita plot
angka tadi ke dalam kontur warna temperatur pelat seperti berikut ini
![]() |
| Gambar 6. Kontur Temperatur (sudah diperhalus) pada Pelat |
http://fisikaveritas.blogspot.com: Diizinkan
menyalin artikel ini jika mencantumkan FISIKAVERITAS sebagai sumbernya
TRIVIA:
Heat equation adalah salah satu
prototipe persamaan parabolik; persamaan Laplace dan persamaan Poisson
merupakan prototipe persamaan eliptik; sedangkan persamaan gelombang merupakan
prototipe persamaan hiperbolik. Nama-nama ini muncul berdasarkan bentuk umum
persamaan diferensialnya yang mirip dengan potongan kerucut (conic section).
Dasar-dasar modeling dan simulasi komputer adalah
menghitung solusi persamaan-persamaan diferensial parsial seperti yang kita
lakukan tadi. Perhitungan yang melibatkan kerumitan geometri, kerumitan
syarat-syarat batas, syarat-syarat awal, dan metode diskritisasi membutuhkan
daya komputasi yang tinggi. Metode diskritisasi yang dipakai di sini adalah
metode beda hingga (finite difference
method) yang menerapkan deret Taylor pada definisi diferensial. Ada banyak
metode diskritisasi untuk menyelesaikan persamaan diferensial parsial selain
metode beda hingga, di antaranya yang terkenal di kalangan industri dan
penelitian adalah metode elemen hingga (finite
element method).
http://fisikaveritas.blogspot.com: Diizinkan
menyalin artikel ini jika mencantumkan FISIKAVERITAS sebagai sumbernya
BACA JUGA:
:: Diskritisasi dan Listing Program C (+Gnuplot) Heat Equation 1-D dengan Syarat Batas Neumann





No comments :
Post a Comment
Silahkan Tulis Komentar Kamu :)